[logo]

[HOME]
[Exponents]
[Logarithms]
[Equations]
[Quadratic Eq'ns]
[Linear Eq'ns]

Physics 111 Algebra Review

Fractions

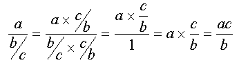
A fraction's value is unchanged if the numerator and denominator are each multiplied or divided by the same quantity.

Thus the following relations hold:

and therefore,

 

 

Exponents

Raising a number y to an exponent n (the nth power) means that y is multiplied by itself n times.

e.g.

y2 = y × y

Note that

y2 × y3 = (y × y) × (y × y × y) = y5

so

ym × yn = ym+n

and

(y2)3 = (y × y) × (y × y) × (y × y) = y6

so

(ym)n = ym×n

 

Exponents need not be integers, they can be fractions, less than 1, negative, ... A negative exponent denotes the reciprocal of the number with positive exponent:

e.g.

Note that:

 

 

Logarithms

Any number y can be written as another number A raised to an exponent x. Neither A nor x need be integers.

i.e.

y = Ax

The exponent x is called the logarithm of y to the base A and is written as:

x = logAy

i.e.

logA(y) = x means Ax = y

There are two frequently-used bases for logarithms:

Base 10 (A = 10) gives the common logarithms, denoted log

log(1) = 0 and log(10) = 1
log(10x) = x and 10log x = x

Base e (A = e = 2.71828...)gives the natural logarithms, denoted ln

ln(1) = 0 and ln(e) = 1
ln(ex) = x and eln x = x

Logarithm relations:

log(ab) = log(a) + log(b)

log(yn) = n log(y)

 
 

Equations

An equation is not changed if the same operation is performed on each side of the equation.

Suppose

A + B = C + D

then

(A + B) + M = (C + D) + M

(A + B) - M = (C + D) - M

(A + B) × M = (C + D) × M

(A + B)n = (C + D)n

Also,

AC + BC = C × (A + B) = (A + B) × C

 
 

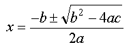
Quadratic Equations

An equation is said to be QUADRATIC in a variable if the variable appears to the first and second powers.

The general form of a quadratic equation:

ax2 + bx + c = 0

has the solution:

 

 

Linear Equations

The general equation for a straight line is:

y = mx + b

where m is the slope and b is the y-intercept (the y value when x = 0).

The slope can be determined graphically by choosing any two points on the line and using

The y-intercept can either be read directly from the graph or, once the slope is known, calculated by using the line equation:

b = y1 - mx1

where (x1, y1) is a point on the line.

TopHOME